Survey: Bol Park Renovation: 2001-2002

This survey was created and conducted by the Parks Department of the City of Palo Alto, with suggestions from the Board of the Barron Park Association.

Surveys were distributed to the portion of the Barron Park neighborhood north of Los Robles Avenue (the whole of Barron Park could not be surveyed because of cost, and this was choosen as a reasonable dividing point). The response rate was 35% of the 851 surveys were mailed out.

Below is a transcript of the results distributed by Kate Rooney at the community meeting (Results were handwritten on the survey form and photocopied).


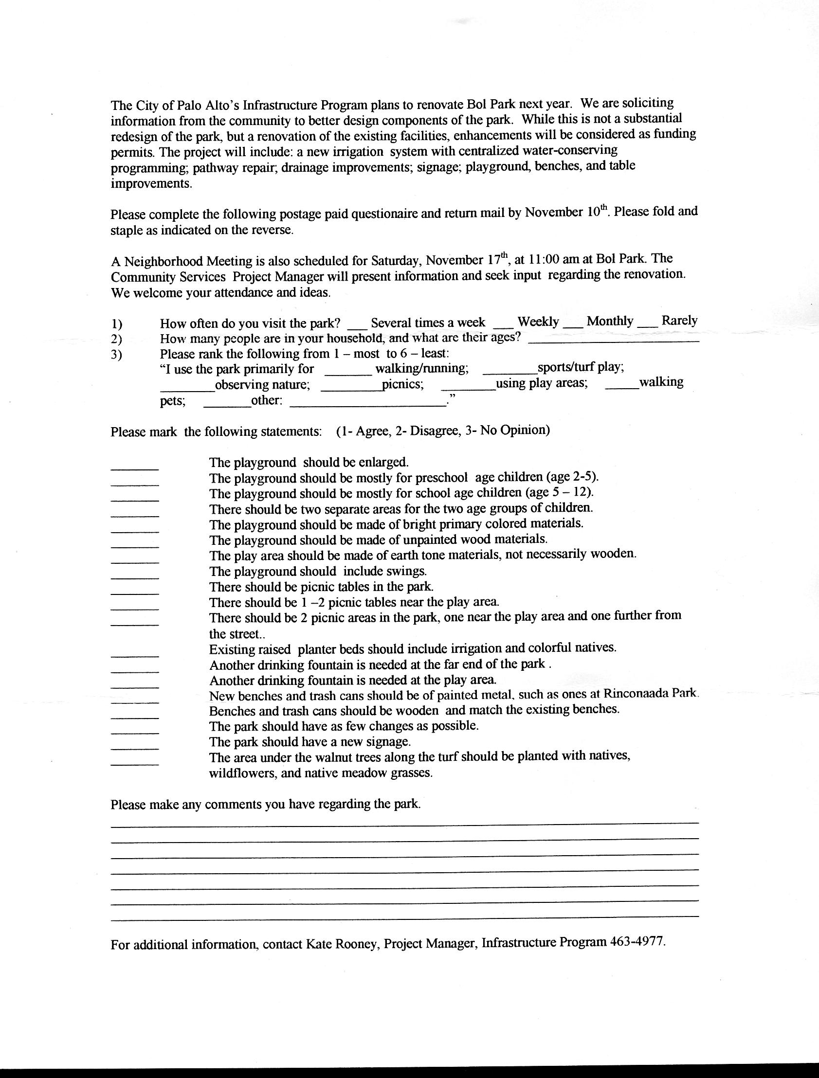
The City of Palo Alto's Infrasructure Program plans to renovate Bol Park next year. We are soliciting information from the community to better design components of the park. While this is not a substantial redesign of the park, but a renovation of the existing facilities, enhancements will be considered as funding permits. The project will include: a new irrigation system with centralized water-conserving programming; pathway repair; drainage improvements; signage; playground, benches, and table improvements.

Please complete the following postage paid questionaire and return mail by November 10th. Please fold and staple as indicated on the reverse.

A Neighborhood Meeting is also scheduled for Saturday, November 17th, at 11:00 am at Bol Park. The Community Services Project Manager will present information and seek input regarding the renovation. We welcome your attendance and ideas.

  1. How often do you visit the park?
  2. How many people are in your household, and what are their ages?
    20% each in #1, 2, 3, 4, 5+
    37% of households have children. About half age 0-5 years; about half age 6-12 years.
  3. Please rank the following from 1-most to 6-least:
    "I use the park primarily for:
Please mark the following statements: (1- Agree, 2- Disagree, 3- No Opinion)

Question Agree Disagree No Opinion
The playground should be enlarged. 40% 33% 27%
The playground should be mostly for preschool age children (age 2-5). 42% 33% 25%
The playground should be mostly for school age children (age 5 - 12). 30% 46% 24%
There should be two separate areas for the two age groups of children. 41% 37% 22%
The playground should be made of bright primary colored materials. 14% 70% 16%
The playground should be made of unpainted wood materials. 56% 22% 22%
The play area should be made of earth tone materials, not necessarily wooden. 63% 17% 20%
The playground should include swings. 56% 19% 25%
There should be picnic tables in the park. 64% 30% 6%
There should be 1-2 picnic tables near the play area. 64% 24% 12%
There should be 2 picnic areas in the park, one near the play area and one further from the street. 52% 34% 13%
Existing raised planter beds should include irrigation and colorful natives. 76% 8% 16%
Another drinking fountain is needed at the far end of the park. 48% 26% 25%
Another drinking fountain is needed at the play area. 28% 50% 21%
New benches and trash cans should be of painted metal, such as ones at Rinconada Park. 20% 47% 33%
Benches and trash cans should be wooden and match the existing benches. 68% 8% 24%
The park should have as few changes as possible. 63% 21% 38%
The park should have a new signage. 18% 39% 43%
The area under the walnut trees along the turf should be planted with natives, wildflowers, and native meadow grasses. 71% 7% 22%

Please make any comments you have regarding the park.

For additional information, contact Kate Rooney, Project Manager, Infrastructure Program 463-4977.



Version Info: $Revision: 1.2 $ $Date: 2002/02/19 08:24:46 $